Poster

Effect of metallic electrodes on opening mechanism of Diarylethene molecule: non-adiabatic molecular dynamics study

V. Zobač and P. Jelínek

Institute of Physics of the AS CR, Cukrovarnická 10, Prague, 162 00, Czech Republic

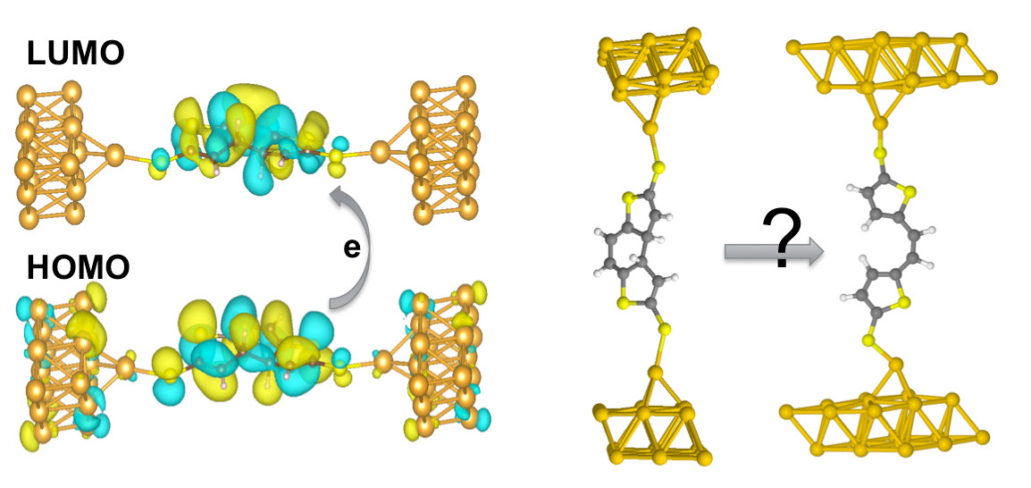
We investigated opening mechanism of a Diarylethene molecule in gas phase or sandwiched between two gold electrodes as consequence of an electron excitation from HOMO to LUMO. We used non-adiabatic molecular dynamics with electronic transitions [1,2] implemented within Fireball code [3]. The simulations reveal quenching of the opening mechanism when the molecule is placed between metallic electrodes. This effect is mainly driven by de-excitation process from localized molecular state to metallic states of electrodes.

Jelinek-2.jpg

Figure 1: Schematic representation of opening mechanism of Diarylethene molecule after electronic excitation from HOMO to LUMO.

[1] J. C. Tully, J. Chem. Phys. 93, 1061 (1990)

[2] V. Zobač et al., J. Phys. Condens. Matter. 27, 175002 (2015)

[3] J. P. Lewis et al., Phys. Stat. Sol. B 90, 085421 (2015)